Kalkulator FVIFA (Presisi Tinggi)
Menghitung faktor bunga nilai anuitas masa depan.
Tentang Kalkulator FVIFA (Presisi Tinggi)
Kalkulator FVIFA digunakan untuk menghitung Faktor Bunga Nilai Anuitas Masa Depan (disingkat FVIFA). FVIFA adalah faktor yang dapat digunakan untuk menghitung rentang nilai anuitas masa depan.
rumus FVIFA
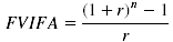
Rumus perhitungan FVIFA adalah sebagai berikut:

di:
FVIFA = faktor bunga nilai anuitas masa depan
r = tingkat bunga per periode
n = jumlah periode
Formulir FVIFA
Anda juga dapat menggunakan tabel FVIFA untuk mencari nilai FVIFA. Di bawah ini adalah tabel FVIFA yang menunjukkan kisaran suku bunga FVIFA dari 1% hingga 30% dan jumlah periode dari 1 hingga 50.
| Mengharapkan | 1% | 2% | 3% | 4% | 5% | 
|---|---|---|---|---|---|
| 1 | 1.0000 | 1.0000 | 1.0000 | 1.0000 | 1.0000 | 
| 2 | 2.0100 | 2.0200 | 2.0300 | 2.0400 | 2.0500 | 
| 3 | 3.0301 | 3.0604 | 3.0909 | 3.1216 | 3.1525 | 
| 4 | 4.0604 | 4.1216 | 4.1836 | 4.2465 | 4.3101 | 
| lima | 5.1010 | 5.2040 | 5.3091 | 5.4163 | 5.5256 | 
| 6 | 6.1520 | 6.3081 | 6.4684 | 6.6330 | 6.8019 | 
| 7 | 7.2135 | 7.4343 | 7.6625 | 7.8983 | 8.1420 | 
| 8 | 8.2857 | 8.5830 | 8.8923 | 9.2142 | 9.5491 | 
| 9 | 9.3685 | 9.7546 | 10.1591 | 10.5828 | 11.0266 | 
| 10 | 10.4622 | 10.9497 | 11.4639 | 12.0061 | 12.5779 | 
| 11 | 11.5668 | 12.1687 | 12.8078 | 13.4864 | 14.2068 | 
| 12 | 12.6825 | 13.4121 | 14.1920 | 15.0258 | 15.9171 | 
| 13 | 13.8093 | 14.6803 | 15.6178 | 16.6268 | 17.7130 | 
| 14 | 14.9474 | 15.9739 | 17.0863 | 18.2919 | 19.5986 | 
| 15 | 16.0969 | 17.2934 | 18.5989 | 20.0236 | 21.5786 | 
| 16 | 17.2579 | 18.6393 | 20.1569 | 21.8245 | 23.6575 | 
| 17 | 18.4304 | 20.0121 | 21.7616 | 23.6975 | 25.8404 | 
| 18 | 19.6147 | 21.4123 | 23.4144 | 25.6454 | 28.1324 | 
| 19 | 20.8109 | 22.8406 | 25.1169 | 27.6712 | 30.5390 | 
| 20 | 22.0190 | 24.2974 | 26.8704 | 29.7781 | 33.0660 | 
| 21 | 23.2392 | 25.7833 | 28.6765 | 31.9692 | 35.7193 | 
| 22 | 24.4716 | 27.2990 | 30.5368 | 34.2480 | 38.5052 | 
| 23 | 25.7163 | 28.8450 | 32.4529 | 36.6179 | 41.4305 | 
| 24 | 26.9735 | 30.4219 | 34.4265 | 39.0826 | 44.5020 | 
| 25 | 28.2432 | 32.0303 | 36.4593 | 41.6459 | 47.7271 | 
| 26 | 29.5256 | 33.6709 | 38.5530 | 44.3117 | 51.1135 | 
| 27 | 30.8209 | 35.3443 | 40.7096 | 47.0842 | 54.6691 | 
| 28 | 32.1291 | 37.0512 | 42.9309 | 49.9676 | 58.4026 | 
| 29 | 33.4504 | 38.7922 | 45.2189 | 52.9663 | 62.3227 | 
| tigapuluh | 34.7849 | 40.5681 | 47.5754 | 56.0849 | 66.4388 | 
| 31 | 36.1327 | 42.3794 | 50.0027 | 59.3283 | 70.7608 | 
| 32 | 37.4941 | 44.2270 | 52.5028 | 62.7015 | 75.2988 | 
| 33 | 38.8690 | 46.1116 | 55.0778 | 66.2095 | 80.0638 | 
| 34 | 40.2577 | 48.0338 | 57.7302 | 69.8579 | 85.0670 | 
| 35 | 41.6603 | 49.9945 | 60.4621 | 73.6522 | 90.3203 | 
| 36 | 43.0769 | 51.9944 | 63.2759 | 77.5983 | 95.8363 | 
| 37 | 44.5076 | 54.0343 | 66.1742 | 81.7022 | 101.6281 | 
| 38 | 45.9527 | 56.1149 | 69.1594 | 85.9703 | 107.7095 | 
| 39 | 47.4123 | 58.2372 | 72.2342 | 90.4091 | 114.0950 | 
| 40 | 48.8864 | 60.4020 | 75.4013 | 95.0255 | 120.7998 | 
| 41 | 50.3752 | 62.6100 | 78.6633 | 99.8265 | 127.8398 | 
| 42 | 51.8790 | 64.8622 | 82.0232 | 104.8196 | 135.2318 | 
| 43 | 53.3978 | 67.1595 | 85.4839 | 110.0124 | 142.9933 | 
| 44 | 54.9318 | 69.5027 | 89.0484 | 115.4129 | 151.1430 | 
| 45 | 56.4811 | 71.8927 | 92.7199 | 121.0294 | 159.7002 | 
| 46 | 58.0459 | 74.3306 | 96.5015 | 126.8706 | 168.6852 | 
| 47 | 59.6263 | 76.8172 | 100.3965 | 132.9454 | 178.1194 | 
| 48 | 61.2226 | 79.3535 | 104.4084 | 139.2632 | 188.0254 | 
| 49 | 62.8348 | 81.9406 | 108.5406 | 145.8337 | 198.4267 | 
| 50 | 64.4632 | 84.5794 | 112.7969 | 152.6671 | 209.3480 | 
| Mengharapkan | 6% | 7% | 8% | 9% | 10% | 
| 1 | 1.0000 | 1.0000 | 1.0000 | 1.0000 | 1.0000 | 
| 2 | 2.0600 | 2.0700 | 2.0800 | 2.0900 | 2.1000 | 
| 3 | 3.1836 | 3.2149 | 3.2464 | 3.2781 | 3.3100 | 
| 4 | 4.3746 | 4.4399 | 4.5061 | 4.5731 | 4.6410 | 
| lima | 5.6371 | 5.7507 | 5.8666 | 5.9847 | 6.1051 | 
| 6 | 6.9753 | 7.1533 | 7.3359 | 7.5233 | 7.7156 | 
| 7 | 8.3938 | 8.6540 | 8.9228 | 9.2004 | 9.4872 | 
| 8 | 9.8975 | 10.2598 | 10.6366 | 11.0285 | 11.4359 | 
| 9 | 11.4913 | 11.9780 | 12.4876 | 13.0210 | 13.5795 | 
| 10 | 13.1808 | 13.8164 | 14.4866 | 15.1929 | 15.9374 | 
| 11 | 14.9716 | 15.7836 | 16.6455 | 17.5603 | 18.5312 | 
| 12 | 16.8699 | 17.8885 | 18.9771 | 20.1407 | 21.3843 | 
| 13 | 18.8821 | 20.1406 | 21.4953 | 22.9534 | 24.5227 | 
| 14 | 21.0151 | 22.5505 | 24.2149 | 26.0192 | 27.9750 | 
| 15 | 23.2760 | 25.1290 | 27.1521 | 29.3609 | 31.7725 | 
| 16 | 25.6725 | 27.8881 | 30.3243 | 33.0034 | 35.9497 | 
| 17 | 28.2129 | 30.8402 | 33.7502 | 36.9737 | 40.5447 | 
| 18 | 30.9057 | 33.9990 | 37.4502 | 41.3013 | 45.5992 | 
| 19 | 33.7600 | 37.3790 | 41.4463 | 46.0185 | 51.1591 | 
| 20 | 36.7856 | 40.9955 | 45.7620 | 51.1601 | 57.2750 | 
| 21 | 39.9927 | 44.8652 | 50.4229 | 56.7645 | 64.0025 | 
| 22 | 43.3923 | 49.0057 | 55.4568 | 62.8733 | 71.4027 | 
| 23 | 46.9958 | 53.4361 | 60.8933 | 69.5319 | 79.5430 | 
| 24 | 50.8156 | 58.1767 | 66.7648 | 76.7898 | 88.4973 | 
| 25 | 54.8645 | 63.2490 | 73.1059 | 84.7009 | 98.3471 | 
| 26 | 59.1564 | 68.6765 | 79.9544 | 93.3240 | 109.1818 | 
| 27 | 63.7058 | 74.4838 | 87.3508 | 102.7231 | 121.0999 | 
| 28 | 68.5281 | 80.6977 | 95.3388 | 112.9682 | 134.2099 | 
| 29 | 73.6398 | 87.3465 | 103.9659 | 124.1354 | 148.6309 | 
| tigapuluh | 79.0582 | 94.4608 | 113.2832 | 136.3075 | 164.4940 | 
| 31 | 84.8017 | 102.0730 | 123.3459 | 149.5752 | 181.9434 | 
| 32 | 90.8898 | 110.2182 | 134.2135 | 164.0370 | 201.1378 | 
| 33 | 97.3432 | 118.9334 | 145.9506 | 179.8003 | 222.2515 | 
| 34 | 104.1838 | 128.2588 | 158.6267 | 196.9823 | 245.4767 | 
| 35 | 111.4348 | 138.2369 | 172.3168 | 215.7108 | 271.0244 | 
| 36 | 119.1209 | 148.9135 | 187.1021 | 236.1247 | 299.1268 | 
| 37 | 127.2681 | 160.3374 | 203.0703 | 258.3759 | 330.0395 | 
| 38 | 135.9042 | 172.5610 | 220.3159 | 282.6298 | 364.0434 | 
| 39 | 145.0585 | 185.6403 | 238.9412 | 309.0665 | 401.4478 | 
| 40 | 154.7620 | 199.6351 | 259.0565 | 337.8824 | 442.5926 | 
| 41 | 165.0477 | 214.6096 | 280.7810 | 369.2919 | 487.8518 | 
| 42 | 175.9505 | 230.6322 | 304.2435 | 403.5281 | 537.6370 | 
| 43 | 187.5076 | 247.7765 | 329.5830 | 440.8457 | 592.4007 | 
| 44 | 199.7580 | 266.1209 | 356.9496 | 481.5218 | 652.6408 | 
| 45 | 212.7435 | 285.7493 | 386.5056 | 525.8587 | 718.9048 | 
| 46 | 226.5081 | 306.7518 | 418.4261 | 574.1860 | 791.7953 | 
| 47 | 241.0986 | 329.2244 | 452.9002 | 626.8628 | 871.9749 | 
| 48 | 256.5645 | 353.2701 | 490.1322 | 684.2804 | 960.1723 | 
| 49 | 272.9584 | 378.9990 | 530.3427 | 746.8656 | 1057.1896 | 
| 50 | 290.3359 | 406.5289 | 573.7702 | 815.0836 | 1163.9085 | 
| Mengharapkan | 11% | 12% | 13% | 14% | 15% | 
| 1 | 1.0000 | 1.0000 | 1.0000 | 1.0000 | 1.0000 | 
| 2 | 2.1100 | 2.1200 | 2.1300 | 2.1400 | 2.1500 | 
| 3 | 3.3421 | 3.3744 | 3.4069 | 3.4396 | 3.4725 | 
| 4 | 4.7097 | 4.7793 | 4.8498 | 4.9211 | 4.9934 | 
| lima | 6.2278 | 6.3528 | 6.4803 | 6.6101 | 6.7424 | 
| 6 | 7.9129 | 8.1152 | 8.3227 | 8.5355 | 8.7537 | 
| 7 | 9.7833 | 10.0890 | 10.4047 | 10.7305 | 11.0668 | 
| 8 | 11.8594 | 12.2997 | 12.7573 | 13.2328 | 13.7268 | 
| 9 | 14.1640 | 14.7757 | 15.4157 | 16.0853 | 16.7858 | 
| 10 | 16.7220 | 17.5487 | 18.4197 | 19.3373 | 20.3037 | 
| 11 | 19.5614 | 20.6546 | 21.8143 | 23.0445 | 24.3493 | 
| 12 | 22.7132 | 24.1331 | 25.6502 | 27.2707 | 29.0017 | 
| 13 | 26.2116 | 28.0291 | 29.9847 | 32.0887 | 34.3519 | 
| 14 | 30.0949 | 32.3926 | 34.8827 | 37.5811 | 40.5047 | 
| 15 | 34.4054 | 37.2797 | 40.4175 | 43.8424 | 47.5804 | 
| 16 | 39.1899 | 42.7533 | 46.6717 | 50.9804 | 55.7175 | 
| 17 | 44.5008 | 48.8837 | 53.7391 | 59.1176 | 65.0751 | 
| 18 | 50.3959 | 55.7497 | 61.7251 | 68.3941 | 75.8364 | 
| 19 | 56.9395 | 63.4397 | 70.7494 | 78.9692 | 88.2118 | 
| 20 | 64.2028 | 72.0524 | 80.9468 | 91.0249 | 102.4436 | 
| 21 | 72.2651 | 81.6987 | 92.4699 | 104.7684 | 118.8101 | 
| 22 | 81.2143 | 92.5026 | 105.4910 | 120.4360 | 137.6316 | 
| 23 | 91.1479 | 104.6029 | 120.2048 | 138.2970 | 159.2764 | 
| 24 | 102.1742 | 118.1552 | 136.8315 | 158.6586 | 184.1678 | 
| 25 | 114.4133 | 133.3339 | 155.6196 | 181.8708 | 212.7930 | 
| 26 | 127.9988 | 150.3339 | 176.8501 | 208.3327 | 245.7120 | 
| 27 | 143.0786 | 169.3740 | 200.8406 | 238.4993 | 283.5688 | 
| 28 | 159.8173 | 190.6989 | 227.9499 | 272.8892 | 327.1041 | 
| 29 | 178.3972 | 214.5828 | 258.5834 | 312.0937 | 377.1697 | 
| tigapuluh | 199.0209 | 241.3327 | 293.1992 | 356.7868 | 434.7451 | 
| 31 | 221.9132 | 271.2926 | 332.3151 | 407.7370 | 500.9569 | 
| 32 | 247.3236 | 304.8477 | 376.5161 | 465.8202 | 577.1005 | 
| 33 | 275.5292 | 342.4294 | 426.4632 | 532.0350 | 664.6655 | 
| 34 | 306.8374 | 384.5210 | 482.9034 | 607.5199 | 765.3654 | 
| 35 | 341.5896 | 431.6635 | 546.6808 | 693.5727 | 881.1702 | 
| 36 | 380.1644 | 484.4631 | 618.7493 | 791.6729 | 1014.3457 | 
| 37 | 422.9825 | 543.5987 | 700.1867 | 903.5071 | 1167.4975 | 
| 38 | 470.5106 | 609.8305 | 792.2110 | 1030.9981 | 1343.6222 | 
| 39 | 523.2667 | 684.0102 | 896.1984 | 1176.3378 | 1546.1655 | 
| 40 | 581.8261 | 767.0914 | 1013.7042 | 1342.0251 | 1779.0903 | 
| 41 | 646.8269 | 860.1424 | 1146.4858 | 1530.9086 | 2046.9539 | 
| 42 | 718.9779 | 964.3595 | 1296.5289 | 1746.2358 | 2354.9969 | 
| 43 | 799.0655 | 1081.0826 | 1466.0777 | 1991.7088 | 2709.2465 | 
| 44 | 887.9627 | 1211.8125 | 1657.6678 | 2271.5481 | 3116.6334 | 
| 45 | 986.6386 | 1358.2300 | 1874.1646 | 2590.5648 | 3585.1285 | 
| 46 | 1096.1688 | 1522.2176 | 2118.8060 | 2954.2439 | 4123.8977 | 
| 47 | 1217.7474 | 1705.8838 | 2395.2508 | 3368.8380 | 4743.4824 | 
| 48 | 1352.6996 | 1911.5898 | 2707.6334 | 3841.4753 | 5456.0047 | 
| 49 | 1502.4965 | 2141.9806 | 3060.6258 | 4380.2819 | 6275.4055 | 
| 50 | 1668.7712 | 2400.0182 | 3459.5071 | 4994.5213 | 7217.7163 | 
| Mengharapkan | 16% | 17% | 18% | 19% | 20% | 
| 1 | 1.0000 | 1.0000 | 1.0000 | 1.0000 | 1.0000 | 
| 2 | 2.1600 | 2.1700 | 2.1800 | 2.1900 | 2.2000 | 
| 3 | 3.5056 | 3.5389 | 3.5724 | 3.6061 | 3.6400 | 
| 4 | 5.0665 | 5.1405 | 5.2154 | 5.2913 | 5.3680 | 
| lima | 6.8771 | 7.0144 | 7.1542 | 7.2966 | 7.4416 | 
| 6 | 8.9775 | 9.2068 | 9.4420 | 9.6830 | 9.9299 | 
| 7 | 11.4139 | 11.7720 | 12.1415 | 12.5227 | 12.9159 | 
| 8 | 14.2401 | 14.7733 | 15.3270 | 15.9020 | 16.4991 | 
| 9 | 17.5185 | 18.2847 | 19.0859 | 19.9234 | 20.7989 | 
| 10 | 21.3215 | 22.3931 | 23.5213 | 24.7089 | 25.9587 | 
| 11 | 25.7329 | 27.1999 | 28.7551 | 30.4035 | 32.1504 | 
| 12 | 30.8502 | 32.8239 | 34.9311 | 37.1802 | 39.5805 | 
| 13 | 36.7862 | 39.4040 | 42.2187 | 45.2445 | 48.4966 | 
| 14 | 43.6720 | 47.1027 | 50.8180 | 54.8409 | 59.1959 | 
| 15 | 51.6595 | 56.1101 | 60.9653 | 66.2607 | 72.0351 | 
| 16 | 60.9250 | 66.6488 | 72.9390 | 79.8502 | 87.4421 | 
| 17 | 71.6730 | 78.9792 | 87.0680 | 96.0218 | 105.9306 | 
| 18 | 84.1407 | 93.4056 | 103.7403 | 115.2659 | 128.1167 | 
| 19 | 98.6032 | 110.2846 | 123.4135 | 138.1664 | 154.7400 | 
| 20 | 115.3797 | 130.0329 | 146.6280 | 165.4180 | 186.6880 | 
| 21 | 134.8405 | 153.1385 | 174.0210 | 197.8474 | 225.0256 | 
| 22 | 157.4150 | 180.1721 | 206.3448 | 236.4385 | 271.0307 | 
| 23 | 183.6014 | 211.8013 | 244.4868 | 282.3618 | 326.2369 | 
| 24 | 213.9776 | 248.8076 | 289.4945 | 337.0105 | 392.4842 | 
| 25 | 249.2140 | 292.1049 | 342.6035 | 402.0425 | 471.9811 | 
| 26 | 290.0883 | 342.7627 | 405.2721 | 479.4306 | 567.3773 | 
| 27 | 337.5024 | 402.0323 | 479.2211 | 571.5224 | 681.8528 | 
| 28 | 392.5028 | 471.3778 | 566.4809 | 681.1116 | 819.2233 | 
| 29 | 456.3032 | 552.5121 | 669.4475 | 811.5228 | 984.0680 | 
| tigapuluh | 530.3117 | 647.4391 | 790.9480 | 966.7122 | 1181.8816 | 
| 31 | 616.1616 | 758.5038 | 934.3186 | 1151.3875 | 1419.2579 | 
| 32 | 715.7475 | 888.4494 | 1103.4960 | 1371.1511 | 1704.1095 | 
| 33 | 831.2671 | 1040.4858 | 1303.1253 | 1632.6698 | 2045.9314 | 
| 34 | 965.2698 | 1218.3684 | 1538.6878 | 1943.8771 | 2456.1176 | 
| 35 | 1120.7130 | 1426.4910 | 1816.6516 | 2314.2137 | 2948.3411 | 
| 36 | 1301.0270 | 1669.9945 | 2144.6489 | 2754.9143 | 3539.0094 | 
| 37 | 1510.1914 | 1954.8936 | 2531.6857 | 3279.3481 | 4247.8112 | 
| 38 | 1752.8220 | 2288.2255 | 2988.3891 | 3903.4242 | 5098.3735 | 
| 39 | 2034.2735 | 2678.2238 | 3527.2992 | 4646.0748 | 6119.0482 | 
| 40 | 2360.7572 | 3134.5218 | 4163.2130 | 5529.8290 | 7343.8578 | 
| 41 | 2739.4784 | 3668.3906 | 4913.5914 | 6581.4965 | 8813.6294 | 
| 42 | 3178.7949 | 4293.0169 | 5799.0378 | 7832.9808 | 10577.3553 | 
| 43 | 3688.4021 | 5023.8298 | 6843.8646 | 9322.2472 | 12693.8263 | 
| 44 | 4279.5465 | 5878.8809 | 8076.7603 | 11094.4741 | 15233.5916 | 
| 45 | 4965.2739 | 6879.2907 | 9531.5771 | 13203.4242 | 18281.3099 | 
| 46 | 5760.7177 | 8049.7701 | 11248.2610 | 15713.0748 | 21938.5719 | 
| 47 | 6683.4326 | 9419.2310 | 13273.9480 | 18699.5590 | 26327.2863 | 
| 48 | 7753.7818 | 11021.5002 | 15664.2586 | 22253.4753 | 31593.7436 | 
| 49 | 8995.3869 | 12896.1553 | 18484.8251 | 26482.6356 | 37913.4923 | 
| 50 | 10435.6488 | 15089.5017 | 21813.0937 | 31515.3363 | 45497.1908 | 
| Mengharapkan | 21% | 22% | 23% | 24% | 25% | 
| 1 | 1.0000 | 1.0000 | 1.0000 | 1.0000 | 1.0000 | 
| 2 | 2.2100 | 2.2200 | 2.2300 | 2.2400 | 2.2500 | 
| 3 | 3.6741 | 3.7084 | 3.7429 | 3.7776 | 3.8125 | 
| 4 | 5.4457 | 5.5242 | 5.6038 | 5.6842 | 5.7656 | 
| lima | 7.5892 | 7.7396 | 7.8926 | 8.0484 | 8.2070 | 
| 6 | 10.1830 | 10.4423 | 10.7079 | 10.9801 | 11.2588 | 
| 7 | 13.3214 | 13.7396 | 14.1708 | 14.6153 | 15.0735 | 
| 8 | 17.1189 | 17.7623 | 18.4300 | 19.1229 | 19.8419 | 
| 9 | 21.7139 | 22.6700 | 23.6690 | 24.7125 | 25.8023 | 
| 10 | 27.2738 | 28.6574 | 30.1128 | 31.6434 | 33.2529 | 
| 11 | 34.0013 | 35.9620 | 38.0388 | 40.2379 | 42.5661 | 
| 12 | 42.1416 | 44.8737 | 47.7877 | 50.8950 | 54.2077 | 
| 13 | 51.9913 | 55.7459 | 59.7788 | 64.1097 | 68.7596 | 
| 14 | 63.9095 | 69.0100 | 74.5280 | 80.4961 | 86.9495 | 
| 15 | 78.3305 | 85.1922 | 92.6694 | 100.8151 | 109.6868 | 
| 16 | 95.7799 | 104.9345 | 114.9834 | 126.0108 | 138.1085 | 
| 17 | 116.8937 | 129.0201 | 142.4295 | 157.2534 | 173.6357 | 
| 18 | 142.4413 | 158.4045 | 176.1883 | 195.9942 | 218.0446 | 
| 19 | 173.3540 | 194.2535 | 217.7116 | 244.0328 | 273.5558 | 
| 20 | 210.7584 | 237.9893 | 268.7853 | 303.6006 | 342.9447 | 
| 21 | 256.0176 | 291.3469 | 331.6059 | 377.4648 | 429.6809 | 
| 22 | 310.7813 | 356.4432 | 408.8753 | 469.0563 | 538.1011 | 
| 23 | 377.0454 | 435.8607 | 503.9166 | 582.6298 | 673.6264 | 
| 24 | 457.2249 | 532.7501 | 620.8174 | 723.4610 | 843.0329 | 
| 25 | 554.2422 | 650.9551 | 764.6054 | 898.0916 | 1054.7912 | 
| 26 | 671.6330 | 795.1653 | 941.4647 | 1114.6336 | 1319.4890 | 
| 27 | 813.6759 | 971.1016 | 1159.0016 | 1383.1457 | 1650.3612 | 
| 28 | 985.5479 | 1185.7440 | 1426.5719 | 1716.1007 | 2063.9515 | 
| 29 | 1193.5129 | 1447.6077 | 1755.6835 | 2128.9648 | 2580.9394 | 
| tigapuluh | 1445.1507 | 1767.0813 | 2160.4907 | 2640.9164 | 3227.1743 | 
| 31 | 1749.6323 | 2156.8392 | 2658.4036 | 3275.7363 | 4034.9678 | 
| 32 | 2118.0551 | 2632.3439 | 3270.8364 | 4062.9130 | 5044.7098 | 
| 33 | 2563.8467 | 3212.4595 | 4024.1287 | 5039.0122 | 6306.8872 | 
| 34 | 3103.2545 | 3920.2006 | 4950.6783 | 6249.3751 | 7884.6091 | 
| 35 | 3755.9379 | 4783.6447 | 6090.3344 | 7750.2251 | 9856.7613 | 
| 36 | 4545.6848 | 5837.0466 | 7492.1113 | 9611.2791 | 12321.9516 | 
| 37 | 5501.2787 | 7122.1968 | 9216.2969 | 11918.9861 | 15403.4396 | 
| 38 | 6657.5472 | 8690.0801 | 11337.0451 | 14780.5428 | 19255.2994 | 
| 39 | 8056.6321 | 10602.8978 | 13945.5655 | 18328.8731 | 24070.1243 | 
| 40 | 9749.5248 | 12936.5353 | 17154.0456 | 22728.8026 | 30088.6554 | 
| 41 | 11797.9250 | 15783.5730 | 21100.4761 | 28184.7152 | 37611.8192 | 
| 42 | 14276.4893 | 19256.9591 | 25954.5856 | 34950.0469 | 47015.7740 | 
| 43 | 17275.5521 | 23494.4901 | 31925.1403 | 43339.0581 | 58770.7175 | 
| 44 | 20904.4180 | 28664.2779 | 39268.9225 | 53741.4321 | 73464.3969 | 
| 45 | 25295.3458 | 34971.4191 | 48301.7747 | 66640.3758 | 91831.4962 | 
| 46 | 30608.3684 | 42666.1312 | 59412.1829 | 82635.0660 | 114790.3702 | 
| 47 | 37037.1257 | 52053.6801 | 73077.9850 | 102468.4818 | 143488.9627 | 
| 48 | 44815.9221 | 63506.4897 | 89886.9215 | 127061.9174 | 179362.2034 | 
| 49 | 54228.2658 | 77478.9175 | 110561.9135 | 157557.7776 | 224203.7543 | 
| 50 | 65617.2016 | 94525.2793 | 135992.1536 | 195372.6442 | 280255.6929 | 
| Mengharapkan | 26% | 27% | 28% | 29% | 30% | 
| 1 | 1.0000 | 1.0000 | 1.0000 | 1.0000 | 1.0000 | 
| 2 | 2.2600 | 2.2700 | 2.2800 | 2.2900 | 2.3000 | 
| 3 | 3.8476 | 3.8829 | 3.9184 | 3.9541 | 3.9900 | 
| 4 | 5.8480 | 5.9313 | 6.0156 | 6.1008 | 6.1870 | 
| lima | 8.3684 | 8.5327 | 8.6999 | 8.8700 | 9.0431 | 
| 6 | 11.5442 | 11.8366 | 12.1359 | 12.4423 | 12.7560 | 
| 7 | 15.5458 | 16.0324 | 16.5339 | 17.0506 | 17.5828 | 
| 8 | 20.5876 | 21.3612 | 22.1634 | 22.9953 | 23.8577 | 
| 9 | 26.9404 | 28.1287 | 29.3692 | 30.6639 | 32.0150 | 
| 10 | 34.9449 | 36.7235 | 38.5926 | 40.5564 | 42.6195 | 
| 11 | 45.0306 | 47.6388 | 50.3985 | 53.3178 | 56.4053 | 
| 12 | 57.7386 | 61.5013 | 65.5100 | 69.7800 | 74.3270 | 
| 13 | 73.7506 | 79.1066 | 84.8529 | 91.0161 | 97.6250 | 
| 14 | 93.9258 | 101.4654 | 109.6117 | 118.4108 | 127.9125 | 
| 15 | 119.3465 | 129.8611 | 141.3029 | 153.7500 | 167.2863 | 
| 16 | 151.3766 | 165.9236 | 181.8677 | 199.3374 | 218.4722 | 
| 17 | 191.7345 | 211.7230 | 233.7907 | 258.1453 | 285.0139 | 
| 18 | 242.5855 | 269.8882 | 300.2521 | 334.0074 | 371.5180 | 
| 19 | 306.6577 | 343.7580 | 385.3227 | 431.8696 | 483.9734 | 
| 20 | 387.3887 | 437.5726 | 494.2131 | 558.1118 | 630.1655 | 
| 21 | 489.1098 | 556.7173 | 633.5927 | 720.9642 | 820.2151 | 
| 22 | 617.2783 | 708.0309 | 811.9987 | 931.0438 | 1067.2796 | 
| 23 | 778.7707 | 900.1993 | 1040.3583 | 1202.0465 | 1388.4635 | 
| 24 | 982.2511 | 1144.2531 | 1332.6586 | 1551.6400 | 1806.0026 | 
| 25 | 1238.6363 | 1454.2014 | 1706.8031 | 2002.6156 | 2348.8033 | 
| 26 | 1561.6818 | 1847.8358 | 2185.7079 | 2584.3741 | 3054.4443 | 
| 27 | 1968.7191 | 2347.7515 | 2798.7061 | 3334.8426 | 3971.7776 | 
| 28 | 2481.5860 | 2982.6443 | 3583.3438 | 4302.9470 | 5164.3109 | 
| 29 | 3127.7984 | 3788.9583 | 4587.6801 | 5551.8016 | 6714.6042 | 
| tigapuluh | 3942.0260 | 4812.9771 | 5873.2306 | 7162.8241 | 8729.9855 | 
| 31 | 4967.9527 | 6113.4809 | 7518.7351 | 9241.0431 | 11349.9811 | 
| 32 | 6260.6204 | 7765.1207 | 9624.9810 | 11921.9456 | 14755.9755 | 
| 33 | 7889.3817 | 9862.7033 | 12320.9756 | 15380.3098 | 19183.7681 | 
| 34 | 9941.6210 | 12526.6332 | 15771.8488 | 19841.5997 | 24939.8985 | 
| 35 | 12527.4424 | 15909.8242 | 20188.9665 | 25596.6636 | 32422.8681 | 
| 36 | 15785.5774 | 20206.4767 | 25842.8771 | 33020.6960 | 42150.7285 | 
| 37 | 19890.8276 | 25663.2254 | 33079.8826 | 42597.6978 | 54796.9471 | 
| 38 | 25063.4428 | 32593.2963 | 42343.2498 | 54952.0302 | 71237.0312 | 
| 39 | 31580.9379 | 41394.4863 | 54200.3597 | 70889.1190 | 92609.1405 | 
| 40 | 39792.9817 | 52571.9976 | 69377.4604 | 91447.9635 | 120392.8827 | 
| 41 | 50140.1570 | 66767.4369 | 88804.1494 | 117968.8729 | 156511.7475 | 
| 42 | 63177.5978 | 84795.6449 | 113670.3112 | 152180.8460 | 203466.2718 | 
| 43 | 79604.7732 | 107691.4690 | 145498.9983 | 196314.2913 | 264507.1533 | 
| 44 | 100303.0142 | 136769.1656 | 186239.7178 | 253246.4358 | 343860.2993 | 
| 45 | 126382.7979 | 173697.8403 | 238387.8388 | 326688.9022 | 447019.3890 | 
| 46 | 159243.3254 | 220597.2572 | 305137.4337 | 421429.6838 | 581126.2058 | 
| 47 | 200647.5900 | 280159.5166 | 390576.9151 | 543645.2922 | 755465.0675 | 
| 48 | 252816.9634 | 355803.5861 | 499939.4514 | 701303.4269 | 982105.5877 | 
| 49 | 318550.3739 | 451871.5544 | 639923.4978 | 904682.4207 | 1276738.2640 | 
| 50 | 401374.4711 | 573877.8741 | 819103.0771 | 1167041.3227 | 1659760.7433 | 
Kutip konten, halaman, atau alat ini sebagai:
"Kalkulator FVIFA (Presisi Tinggi)" di https://MiniWebtool.com/id/kalkulator-fvifa-presisi-tinggi/ dari MiniWebtool, https://MiniWebtool.com/
Alat terkait lainnya:
Kalkulator TVM:
- kalkulator nilai masa depan
- Kalkulator Faktor Nilai Masa Depan (FVIF) Unggulan
- Kalkulator Nilai Anuitas Masa Depan
- Kalkulator Nilai Masa Depan Anuitas Prabayar
- Kalkulator Nilai Masa Depan Anuitas Pertumbuhan
- Lump sum kalkulator nilai masa depan
- Kalkulator FVIFA (Presisi Tinggi) Unggulan
- kalkulator nilai sekarang
- Kalkulator Nilai Sekarang Lump Sum
- Kalkulator PVIF (Presisi Tinggi) Unggulan