Present Value of Lump Sum Calculator
Calculate the present value of lump sum.
About Present Value of Lump Sum Calculator
The Present Value of Lump Sum Calculator helps you calculate the present value of lump sum based on a fixed interest rate per period.
Lump Sum
A lump sum is a complete payment consisting of a single sum of money, as opposed to a series of payments made over time (such as an annuity).
Formula
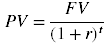
The present value of lump sum calculation formula is as follows:

Where:
PV = present value of lump sum
FV = future value of lump sum
r = interest rate per period
t = number of compounding periods
Reference this content, page, or tool as:
"Present Value of Lump Sum Calculator" at https://MiniWebtool.com/present-value-of-lump-sum-calculator/ from MiniWebtool, https://MiniWebtool.com/
Related MiniWebtools:
TVM Calculators:
- Future Value Calculator
- Future Value Factor (FVIF) Calculator Featured
- Future Value of Annuity Calculator
- Future Value of Annuity Due Calculator
- Future Value of Growing Annuity Calculator
- Future Value of Lump Sum Calculator
- FVIFA Calculator (High Precision) Featured
- Present Value Calculator
- Present Value of Lump Sum Calculator
- PVIF Calculator (High Precision) Featured