作業フローを簡素化:miniwebtoolを検索。
追加
ホームページ > 数学 > 幾何学電卓 > 2点間距離の計算
 

2点間距離の計算

2点間の中間点を見つけます。

2点間距離の計算
2つの点(x 1 、y 1 )および(x 2 、y 2 )を入力します。

Embed 2点間距離の計算 Widget

2点間距離の計算

オンラインの2点間距離の計算は、2点間の距離を見つけるのに役立ちます (ステップバイステップ)。

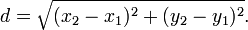
2点間の距離の式

任意の2点(x 1 、y 1 )と(x 2 、y 2 )の間の距離は、次の式で与えられます。

2点間の距離の式

このコンテンツ、ページ、またはツールを引用する場合は、次のようにしてください:

"2点間距離の計算"(https://MiniWebtool.com/ja/2点間距離の計算/) MiniWebtool からの引用、https://MiniWebtool.com/

また、AI 数学ソルバー GPT を使って、自然言語による質問と回答で数学の問題を解決することもできます。

その他の関連ツール:

幾何学電卓:

おすすめ:

標準偏差電卓 (高精度)パーセント増加電卓手数料電卓売上総利益率電卓中央値電卓パーセンテージ減少電卓合計電卓 (高精度)HEX電卓対数電卓分散電卓 (高精度)パーセント誤差電卓平均電卓 (高精度)変化率電卓行番号を追加モジュロ電卓番号を並べ替えるAI句読点追加フィートとインチからセンチメートルへのコンバーターCAGR電卓ランダムカラージェネレーター画像分割ツール動画を逆再生標準誤差電卓 (高精度)BUN対クレアチニン比電卓MACアドレス検索相対標準偏差電卓 (高精度)WAR電卓平方根電卓(高精度)t検定電卓指数電卓 (高精度)小数時間から普通の時間へのコンバーターランダム名前ジェネレーターランダム誕生日ジェネレーター変動係数電卓英単語ランダム生成ツールMP3 ルーパー逆テキストCPM 電卓マン-ホイットニー U検定電卓楕円円周電卓ヒストグラムメーカー比較分数電卓空の行を削除するカイ二乗検定電卓年の日電卓 - 今日は今年の何日目?散布図作成ツール画像モザイクツール配当利回り電卓営業利益率電卓SRTからTXTへの変換ツールHTMLからテキストコンバータアナグラム生成器FPSコンバーター血糖値コンバーターFENa電卓斜辺電卓CRC32チェックサム電卓センチメートルからフィートとインチへのコンバーターLog Base 2電卓XMLバリデーターピタゴラスの定理電卓10進数からBCDへのコンバーター比率電卓エントロピー電卓外れ値電卓BCDから10進数へのコンバーター二乗平均平方根電卓四分位範囲電卓階乗電卓素数のリストファクター電卓動画圧縮幾何平均電卓逆ラプラス変換電卓psiからkPaへのコンバーター桁数SRT 時間シフトセンチメートルからインチへのコンバーター半減期電卓バイナリ電卓流動比率電卓科学表記法電卓ランニングペース電卓🏃Argon2 ハッシュジェネレーターHEXコンバーター動画から画像抽出ツールHexからBCDへのコンバーター表面積電卓WACCの電卓ローマ数字のコンバーター固有値と固有ベクトル電卓自然対数電卓宝くじ番号ジェネレーター究極の周波数・波長変換ツール数値から文字へのコンバーター複素数電卓自己資本比率計算CRC64チェックサム電卓平方数リストCSVからSRTへ壁フレーミング電卓 🏗️屋根計算機 🏠屋根勾配と垂木電卓 🏠階段電卓 🪜壁紙電卓 🎨フローリング電卓 🏠タイル電卓 🔲ペイント電卓 🎨レンガとモルタルの電卓 🧱コンクリート電卓 🧱誕生石と星座の花ファインダー 💎🌸ケルトの樹木占い電卓 🌳月星座相性電卓 🌙高度な星座相性分析器 💞新月と満月のカレンダー 🌑🌕サターンリターン電卓 🪐水星逆行カレンダー 🌟占星術のモダリティバランス電卓占星術の元素バランス電卓水星星座電卓(コミュニケーション)🗣️火星星座の電卓(行動力と情熱)🔥金星星座電卓(恋愛スタイル)💖パスワード強度テスターUnixパーミッション電卓 (chmod)Cronジョブジェネレーターn乗根電卓(高精度)ビデオ速度を調整ビデオに音声を追加または置換動画を結合動画に透かしを追加動画を回転オーディオ スプリッタービデオスピリッタービデオをループ再生動画から音声を削除オーディオ抽出ツール動画クロッパービデオ反転GIF を反転画像を反転GIF MP4 変換迷路ジェネレーターバーコードジェネレーターMP4 GIF 変換ツール労働時間計算ツールカラー反転ツール画像にテキストを追加画像エンハンサー画像カラーピッカー画像に線を追加パレットジェネレーターpH電卓モル質量電卓行の反転モル濃度電卓角度変換ツール重量変換ツール長さ変換ツール体積コンバーター圧力変換器エネルギーコンバーター靴のサイズ変換ツールスピードコンバーター温度変換器パワーコンバーター画像回転ツールシーザー暗号ツール住宅価値上昇電卓自動車減価償却電卓住宅購入可能性電卓デスティニーナンバー電卓住宅ローン比較電卓複利貯蓄電卓IRR電卓倍加時間電卓画像圧縮ツールNPV電卓即期年金電卓高精度ディスカウントファクター電卓高精度PVIFA電卓回収期間電卓APR 電卓テキストの検索と置換割合の信頼区間電卓ポアソン分布電卓Zスコア電卓AI文拡張ツールAIパラフレーズツール学生ローン返済電卓住宅ローン借り換え電卓コラージュメーカーGIFメーカー画像リサイズ画像トリマー