Simplifiez votre flux de travail : Recherchez miniwebtool.
Ajouter
Page d'accueil > Calculatrices financières > Calculatrices d'annuités > Calculatrice de la valeur actualisée d'une rente viagère croissante
 

Calculatrice de la valeur actualisée d'une rente viagère croissante

Calculez la valeur actuelle de la rente en croissance.

Calculatrice de la valeur actualisée d'une rente viagère croissante
Premier paiement:
Taux d'intérêt par période: %
Taux de croissance par période: %
Nombre de périodes:

Embed Calculatrice de la valeur actualisée d'une rente viagère croissante Widget

Calculatrice de la valeur actualisée d'une rente viagère croissante

Le Calculateur de la valeur actualisée d'une rente croissante vous aide à calculer la valeur actualisée d'une rente croissante (habituellement abrégée en PVGA), qui est la valeur actualisée d'une série de versements périodiques futurs qui augmentent à un taux de croissance constant.

Formule

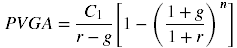
La valeur actualisée de la formule de calcul de la rente croissante est la suivante :

Valeur actuelle de la formule de rente croissante

Où:
PVGA = valeur actuelle de la rente en croissance
C 1 = le premier versement
r = taux d'intérêt par période
g = un taux de croissance constant par période
n = nombre de périodes

Citez ce contenu, cette page ou cet outil comme suit :

"Calculatrice de la valeur actualisée d'une rente viagère croissante" sur https://MiniWebtool.com/fr/calculatrice-de-la-valeur-actualisée-d/ de MiniWebtool, https://MiniWebtool.com/

Autres outils connexes:

Calculatrices d'annuités:

Outils en vedette:

Calculatrice de Compatibilité AmoureuseConvertisseur PPM en pourcentageCalculateur du Jour de l'Année - Quel Jour de l'Année Sommes-Nous ?Recherche d'adresse MACGénérateur de Numéros de LoterieGénérateur de chaînes aléatoires Convertisseur de décimales en tempsCalculateur d'ÂgeCalculatrice hexadécimale Compteur de lignesConvertisseur Cm en pieds et poucesConvertisseur de pourcentage en PPMConvertisseur Pieds et Pouces en CmCalculatrice des exposants (Haute précision)Sélecteur de nom aléatoire Convertisseur de temps à décimaleCalculateur d'écart (Haute précision)Paraphraseur IACalculateur des Signes Solaire, Lunaire et Ascendant 🌞🌙✨Générateur de couleurs aléatoiresCalculatrice médianeCalculatrice ModuloCalculatrice binaire Supprimer des accents du texte Calculatrice de variation en pourcentageExtracteur d'Images de VidéoConvertisseur de chiffres romainsOutil en ligne pour trier les numéros par ordre croissant ou décroissantCalculatrice de pourcentage d'erreur Calculatrice octale Calculatrice de racine carrée (Haute précision)Convertisseur décimal en BCD Calculatrice du théorème de PythagoreGénérateur de Mots Aléatoires en AnglaisConvertisseur d'adresse IP(IPv4/IPv6) en binaireGénérateur d'adresses MACConvertisseur de code binaire en code GrayFormateur de TexteCalculateur d'escalier 🪜Analyseur Avancé de Compatibilité Zodiacale 💞Calculatrice de circonférence d'ellipseConversion de lbs en kg Générateur Aléatoire d'AnimauxSupprimer les lignes vides du texteSélection aléatoire en ligne Calculatrice de l'HbA1c Calculatrice du nombre d'expressionsConvertisseur décimal en binaire Calculatrice de l'intervalle de confianceCalculatrice du quartileCalculatrice de formule quadratiqueGénérateur d'AnagrammesCalculatrice du CAGR Convertisseur BCD en décimale Jour de l'année CalendrierCalculateur de Déficit Calorique 🔥Convertisseur FPSConversion de kg en lbs Randomiseur de listeConvertisseur de base Liste des années bissextiles Recherche d'ID utilisateur Facebook Calculatrice de Test du Khi-DeuxDiviseur d'imagesCalculatrice du nombre d'âmes par impériosité Convertisseur d'adresse IP(IPv4/IPv6) en HexSupprimer des espaces du texteCalculatrice du ratio par rapport au pourcentageConvertisseur octal en binaireConvertisseur Bcd en binaire Outil de Chiffrement de CésarTrier les lignes par ordre alphabétiqueCalculatrice de NumérologieCalculatrice de la valeur actualiséeConvertisseur binaire en BCD Calculateur de Nombres AngéliquesCalculatrice de date Convertisseur Cm en pouces Convertisseur décimal à notation scientifiqueConvertisseur psi en barCalculatrice de la moyenne harmoniqueGénérateur de LabyrinthesCalculatrice de bitCalculatrice de fonction gammaExtracteur AudioCalculateur du zodiaque celtique des arbres 🌳Créateur de Diagrammes en Boîte et MoustachesCalculatrice des proportionsConvertisseur de SRT en TXTConvertisseur de Fraction en PourcentageConvertisseur décimal en hexadécimal Convertisseur octal en décimal Extracteur d'URLCalculatrice de la diminution en pourcentageCalculatrice de Nombre de DestinConvertisseur octal en hexadécimal Générateur de citations aléatoires Calculateur d'Intervalle de Confiance pour la ProportionConvertisseur de pouces en cm Développeur de Phrases IACalculatrice de Paillis, Terre et Gravier 🌱Calculatrice de Charpente Murale 🏗️Calculateur de Toiture 🏠Calculatrice de Pente de Toit et de Chevron 🏠Calculateur de papier peint 🎨Calculatrice de Revêtement de Sol 🏠Calculateur de Carrelage 🔲Calculateur de Peinture 🎨Calculateur de Briques et Mortier 🧱Calculateur de Béton 🧱Découvreur de pierre de naissance et de fleur du zodiaque 💎🌸Calculateur de Compatibilité des Signes Lunaires 🌙Calendrier de Nouvelle Lune et Pleine Lune 🌑🌕Calculateur de Retour de Saturne 🪐Calendrier de Mercure Rétrograde 🌟Calculateur d'Équilibre des Modalités AstrologiquesCalculateur d’Équilibre des Éléments AstrologiquesCalculateur du Signe de Mercure (Communication) 🗣️Calculateur du Signe de Mars (Dynamisme & Passion) 🔥Calculateur du Signe de Vénus (Style d’Amour) 💖Testeur de force de mot de passeCalculateur de Permissions Unix (chmod)Générateur de Tâches CronCalculatrice de racine nième (haute précision)Convertisseur ultime de fréquence et de longueur d’ondeValidateur XMLAjuster la Vitesse de la VidéoAjouter ou Remplacer l'Audio dans une VidéoFusionner des vidéosAjouter un filigrane à la vidéoPivoter la vidéoDiviseur AudioDiviseur de vidéoVidéo en boucleSupprimer l'audio d'une vidéoRecadreur VidéoRetourner la vidéoRetourner un GIFRetourner l'imageConvertisseur GIF en MP4Inverser la VidéoGénérateur de Codes-BarresConvertisseur MP4 vers GIFCalculateur d'Heures de TravailInverseur de CouleursAjouter du Texte à l'ImageAméliorateur d'ImageSélecteur de Couleurs d'ImageAjouter une Ligne à l'ImageGénérateur de PaletteCalculateur de pHCalculateur de Masse MolaireInverser la ligneCalculateur de MolaritéConvertisseur d'anglesConvertisseur de PoidsConvertisseur de LongueurConvertisseur de VolumeConvertisseur de PressionConvertisseur d'ÉnergieConvertisseur de PointuresConvertisseur de VitesseConvertisseur de TempératureConvertisseur de PuissanceRotateur d'imagesCalculateur d'Appréciation ImmobilièreCalculateur de Dépréciation de VoitureCalculatrice d'Accessibilité au LogementCalculatrice de comparaison d'hypothèques Calculatrice d'Épargne ComposéeCalculateur IRRCalculateur de Temps de DoublementOutil de Pixelisation d'ImagesCompresseur d'ImagesCalculateur de NPVCalculatrice d'Annuité ImmédiateCalculatrice de Facteur d'Actualisation (Haute Précision)Calculatrice PVIFA (Haute Précision)Calculatrice de Période de RécupérationCalculatrice de TAEGLooper MP3Rechercher et Remplacer du TexteCalculatrice de Distribution de PoissonCalculatrice d'EntropieCalculatrice de Z-ScoreCalculatrice de Remboursement de Prêt ÉtudiantCalculatrice de Refinancement HypothécaireCréateur de CollagesCréateur de GIFRedimensionneur d'ImagesOutil de Recadrage d'Image