简化您的工作流程:搜索 miniwebtool。
添加插件
主页 > 财务计算工具 > 年金计算工具 > 先付年金现值计算器
 

先付年金现值计算器

计算到期的现值年金。

先付年金现值计算器
等额付款金额:
每期利率: %
时间段数:

Embed 先付年金现值计算器 Widget

先付年金现值计算器

先付年金现值计算器可帮助您计算到期现金年金,该年金用于确定持续一段时间的一系列相等和连续付款的现值,但付款从每个时间段的开头开始,最后一笔付款在指定时间段结束前停止一段时间。

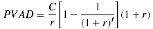
公式

先付年金现值计算公式如下:

先付年金现值公式

其中:
PVAD =先付年金现值
C =同等金额
r =每期利率
t =时间段的数量

引用此内容、页面或工具为:

"先付年金现值计算器" 于 https://MiniWebtool.com/zh-cn/先付年金现值计算器/,来自 MiniWebtool,https://MiniWebtool.com/

其他相关工具:

年金计算工具:

常用工具:

相对标准偏差计算器 (高精度)CAGR计算器HEX计算器网址提取器VAT计算器英尺英寸转换为厘米毛利率计算器斜边计算器因子计算器比例计算器太阳、月亮与上升星座计算器 🌞🌙✨样本量计算器彩票号码生成器CPM计算器百分比折扣计算机MAC地址查找随机选择器年金现值计算器阶乘计算器SRT转为TXT工具kg到lbs转换器几何序列计算机 (高精度)厘米到英尺和英寸转换器定期存款计算器分数计算器月亮星座计算器线性回归计算器利润计算机英寸到厘米转换器lbs to kg转换器二进制计算器图片打码工具圆计算器One Rep Max(1RM)计算器视频转图片提取器AI改写工具随机字符串生成器标准偏差计算器 (高精度)MAC地址生成器箱线图生成器百分比增长率计算器音频提取器变异系数计算器百分比计算器椭圆周长计算器相关系数计算器t检验计算器合并视频英尺到米转换器FPS 转换器最简分数计算器卡方检验计算器血糖转换器psi 转 bar 转换器积分计算器为图片添加文字MAC 地址分析工具组合计算器TDEE计算器 - 卡路里和BMI计算器 🔥对数计算机极限计算器直方图生成器罗马数字转换器SRT时间偏移SHA256 哈希生成器图片压缩器IRR计算器商和余数计算器复数计算器视频分割器圆柱体体积计算器 (高精度)Log Base 10计算器视频压缩器SHA1哈希生成器分数百分比转换器最小公倍数计算器AI标点符号添加器调整视频速度几何平均值计算器百分比增加计算器质数分解计算器百分比变化计算器平均偏差计算器利率计算器按位计算器厘米到英寸转换器平方根计算机(高精度)两点间距离计算器卧推计算器月经周期计算器标准误差计算器 (高精度)半衰期计算器质数列表迷宫生成器随机英文单词生成器双重积分计算器指数计算器 (高精度)跑步配速计算器🏃大额存单计算器误差函数计算器屋顶计算器 🏠屋顶坡度计算器和椽子计算器 🏠楼梯计算器 🪜壁纸计算器 🎨地板计算器 🏠瓷砖计算器 🔲油漆计算器 🎨砖和砂浆计算器 🧱混凝土计算器 🧱生辰石和星座花查找器 💎🌸凯尔特树生肖计算器 🌳月亮星座配对计算器 🌙高级星座兼容性分析器 💞新月和满月日历 🌑🌕土星回归计算器 🪐水星逆行日历 🌟占星学模式平衡计算器星盘元素平衡计算器水星星座计算器(沟通)🗣️火星星座计算器(行动力与热情)🔥金星星座计算器(恋爱风格)💖密码强度测试器Unix 权限计算器 (chmod)Cron 任务生成器n次方根计算器(高精度)频率与波长转换器XML验证器在视频中添加或替换音频为视频添加水印旋转视频音频分割器循环播放视频从视频中移除音频视频裁剪器翻转视频翻转 GIF翻转图片GIF 转 MP4 转换器反向播放视频条形码生成器MP4 转 GIF 转换器工作时间计算器颜色反转器图像增强器图片分割器图片颜色选择器图片添加线条调色板生成器pH计算器摩尔质量计算器反转行序摩尔浓度计算器角度转换器重量转换器长度转换器体积转换器压力转换器能量转换器鞋码转换器速度转换器温度转换器功率转换器图片旋转器凯撒密码工具房产增值计算器汽车折旧计算器住房负担能力计算器命运数字计算器抵押比较计算器复利储蓄计算器翻倍时间计算器NPV计算器即期年金计算器高精度折现因子计算器高精度PVIFA计算器回收期计算器APR 计算器MP3 循环器查找并替换文本比例置信区间计算器泊松分布计算器熵计算器Z-分数计算器AI 句子扩展器学生贷款还款计算器抵押贷款再融资计算器拼贴制作器GIF 制作器图像调整器图片裁剪工具