简化您的工作流程:搜索 miniwebtool。
添加插件
主页 > 财务计算工具 > TVM 计算工具 > 先付年金终值计算器
 

先付年金终值计算器

通过分步公式、付款计划细目、投资增长可视化以及与普通年金的对比,计算先付年金(FVAD)的终值。

先付年金终值计算器
先付年金:在每期开始时付款
第 0 期
支付 $C
第 1 期
支付 $C
第 2 期
支付 $C
...
第 n 期
FVAD
核心提示: 每一笔付款都在整个周期内赚取利息,从而实现增长潜力最大化。
$
%

Embed 先付年金终值计算器 Widget

先付年金终值计算器

欢迎使用先付年金终值计算器。这是一个全面的财务工具,用于计算在每期期初支付的一系列等额款项的未来价值。无论您是在规划退休储蓄、评估租赁协议,还是分析投资选项,本计算器都能通过分步公式、付款计划表和增长可视化图表为您提供专业级的分析。

什么是先付年金终值 (FVAD)?

先付年金终值 (FVAD) 是指在每个连续时期的开始支付一系列等额款项,并假设这些款项按给定利率进行投资后所产生的累计价值。先付年金的关键特征在于付款的时间点——它们发生在每期的开始而不是结束。

由于款项是在每期开始时支付的,与普通年金相比,每笔付款都会多赚取一期的利息。这种时间差异会导致更高的终值,使得先付年金计算在诸如房屋租金、保险费和预付型储蓄计划等场景中变得至关重要。

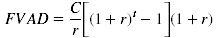
FVAD 计算公式

先付年金终值公式
$$FVAD = C \times \frac{(1 + r)^n - 1}{r} \times (1 + r)$$

其中:

先付年金 vs 普通年金

了解这两种年金类型的区别对于准确的财务规划至关重要:

特征先付年金 (Annuity Due)普通年金 (Ordinary Annuity)
付款时间每期期初每期期末
终值较高(多赚一期利息)较低
公式乘数× (1 + r)
常见例子房租、租赁费、保险费贷款还款、抵押贷款还款

两者的关系很简单:FVAD = FVA × (1 + r)。这意味着在参数相同的情况下,先付年金的价值始终是普通年金的 (1 + r) 倍。

如何使用此计算器

  1. 输入每期付款金额: 输入您在每期开始时投入的金额。可以使用 $ 符号或仅输入数字。
  2. 输入年利率: 以百分比形式输入年度利率(例如,5 代表 5%)。
  3. 输入年数: 输入年金持续的总年数。
  4. 选择复利频率: 选择利息复利的频率——每年、每半年、每季度或每月。
  5. 计算: 点击按钮即可查看终值、付款计划表、增长图表和详细的计算步骤。

了解您的计算结果

主要结果

付款计划表

计算器显示了每一时期的详细明细,包括:

增长图表

交互式图表可视化了:

先付年金的现实案例

房租和租赁付款

租金通常在每个月的开始支付。如果您在每个月初将等同于租金的资金进行投资,那么您就在创建一个先付年金。

保险费

保险费通常是预付的——您在承保期开始时付款。汽车、健康和人寿保险费都遵循先付年金模式。

退休储蓄

如果您在每个发薪周期的开始向 401(k) 或个人退休账户 (IRA) 供款,您就是在构建先付年金。早期供款可以使复利增长最大化。

教育储蓄

在每个学期或学年开始时支付的学费遵循先付年金模式。了解 FVAD 有助于更好地规划教育支出。

复利频率的影响

复利的频率会显著影响您的终值:

频率每年期数对终值的影响
每年1基准计算
每半年2终值略高
每季度4终值较高
每月12终值最高

更频繁的复利意味着利息会更频繁地计算并加入您的余额,从而使后续利息能在之前赚取的利息基础上再次产生利息(复利效应)。

常见问题解答

什么是先付年金终值 (FVAD)?

先付年金终值 (FVAD) 是指在每个时间段的开始支付的一系列等额款项,在给定的利率下随时间复利计算后的总价值。与在每期期末支付的普通年金不同,先付年金的款项会多赚取一期的利息,从而产生更高的终值。

先付年金终值的计算公式是什么?

先付年金终值的公式为:FVAD = C × [(1 + r)^n - 1] / r × (1 + r),其中 C 为每期付款额,r 为每期利率,n 为总期数。末尾的 (1 + r) 乘数反映了款项是在每期期初支付的。

先付年金和普通年金的区别是什么?

关键区别在于付款时间:先付年金在每期期初付款(如租金或保险费),而普通年金在每期期末付款(如贷款或抵押贷款)。由于先付年金的款项多赚取一期利息,FVAD 总是比普通年金终值高出 (1 + r) 倍。

现实生活中先付年金的例子有哪些?

常见的先付年金例子包括:房租(月初到期)、保险费(预付)、租赁费、学期开始时的学费、预付费订阅服务以及每期期初进行的储蓄存款。

复利频率如何影响 FVAD?

复利频率越高,终值越高。例如,采用月度复利时,利息每年计算 12 次。这导致了更高的有效年利率,与年度复利相比,您的资金增长会更快。

相关计算器

更多资源

引用此内容、页面或工具为:

"先付年金终值计算器" 于 https://MiniWebtool.com/zh-cn/先付年金终值计算器/,来自 MiniWebtool,https://MiniWebtool.com/

由 miniwebtool 团队提供。更新时间:2026年2月1日

其他相关工具:

TVM 计算工具:

常用工具:

职位查找器随机信用卡生成器MAC地址查找彩票号码生成器网址提取器相对标准偏差计算器英尺英寸转换为厘米太阳、月亮与上升星座计算器 🌞🌙✨CAGR计算器厘米到英尺和英寸转换器磅转千克转换器样本量计算器VAT计算器随机选择器cpm计算器毛利率计算器定期存款计算器百分比折扣计算器📅 日期计算器斜边计算器图片打码工具比例计算器音频分割器质数检查器kg到lbs转换器音频提取器血糖转换器罗马数字转换器英寸到厘米转换器FPS 转换器名人名言搜索 (英文)随机字符串生成器圆计算器卡方检验计算器随机名字选择器百分比增长率计算器厘米到英寸转换器MAC 地址分析工具平方根计算器合并视频SHA256 哈希生成器🎮 游戏灵敏度转换器MAC地址生成器股票平均成本计算器闰年清单DOY日历SRT转为TXT工具百分比计算器对数计算器视频转图片提取器两个日期之间数字提取器HEX计算器t检验计算器年度天数计算器 - 今天是今年的第几天条形码生成器跑步配速计算器线性回归计算器年龄计算器调整视频速度英尺到米转换器图片压缩器数织生成器-picross真心话大冒险生成器Facebook用户ID查询复利计算机图片分割器unix时间转换器分数百分比转换器利润计算器月亮星座计算器鞋码转换器PSI 转 Bar 转换器分数计算器百分比增加计算器AI Token 计数器体脂百分比计算器凯利公式计算器二进制计算器随机IMEI生成器盎司到克转换器最简分数计算器每个月的天数HEX转换器互补误差函数计算器填字游戏制作器为图片添加文字圆形面积计算器椭圆周长计算器半衰期计算器卧推计算器kpa到psi转换器组合计算器随机扑克牌生成器srt时间偏移随机分组生成器年金现值计算器One Rep Max (1RM) 计算器分贝 (dB) 计算器百分比变化计算器债券凸性计算器固定指数年金计算器变额年金计算器反向抵押贷款计算器年金支付计算器日本算盘模拟器俄罗斯农民乘法吠陀数学技巧计算器古埃及乘法计算器罗马数字数学求解器心算训练器乘法口诀表测验进位与借位可视化工具数的分合生成器硬币应用题求解器距离速度时间三角形计算器工作效率问题求解器混合问题求解器年龄问题求解器火车相遇问题求解器补水计算器配速卡路里计算器药物剂量计算器酒精卡路里计算器身体重塑计算器随机辩论话题生成器随机猫狗名字生成器随机圣经经文生成器随机数学题生成器随机段落生成器随机英文句子生成器砾石、砂和表土计算器钢材重量计算器螺栓扭矩计算器管道流量计算器梁荷载计算器美元换黄金转换器期权概率计算器股票拆分计算器员工持股计划计算器发票滞纳金计算器自由职业者时薪计算器租赁与购买对比计算器高级小费分摊计算器装箱清单生成器时差反应计算器旅行预算计算器飞行距离计算器热损失计算器发电成本计算器用水量计算器家电用电成本计算器家庭能源审计计算器太阳能投资回报率计算器太阳能板计算器堆肥CN比计算器草坪肥料计算器霜冻日期计算器高床种植箱土壤计算器NPK肥料计算器种子发芽率计算器视频比特率计算器音乐调性转换器音乐BPM节拍点击器照片文件大小估算计算器百万像素到打印尺寸计算器裁切系数计算器曝光三角计算器车辆牵引能力计算器汽车租赁计算器0–60与四分之一英里计算器电动车充电时间计算器电动汽车续航计算器汽车油耗计算器服装尺码转换器纸张尺寸参考表戒指尺寸转换器天文单位转换器燃油效率转换器数据传输速率转换器扭矩转换器 (Nm, ft-lb, kgf-cm)删除线文字生成器空白字符可视化工具阅读时间计算器演讲时间计算器段落计数器句子计数器音节计数器文本转二进制/十六进制/ASCII转换器Lorem Picsum / 占位符图片生成器.env 文件生成器Git 命令生成器颜色代码转换器全格式Bcrypt 哈希生成器和校验器JWT生成器CSS Grid 生成器数值积分计算器z变换计算器快速傅里叶变换FFT计算器张量积计算器矩阵指数计算器约当标准形计算器环与域计算器群论阶数计算器常微分方程组求解器伯努利微分方程求解器欧拉方法计算器方向场斜率场绘图器二阶常微分方程求解器一阶常微分方程求解器稳定婚姻问题求解器网络最大流计算器平面图检查器哈密顿路径检查器旅行商问题求解器 TSP线性规划求解器容斥原理计算器递推关系求解器邻接矩阵计算器拓扑排序计算器图着色计算器逻辑门模拟器卡诺图 (K-Map) 求解器布尔代数化简器分拆函数计算器数字根计算器斐波那契数检查器埃及分数计算器莫比乌斯函数计算器哥德巴赫猜想验证器梅森素数检查器孪生素数查找器亲和数检查器完全数检查器模幂运算计算器重复排列计算器效果量计算器相对风险计算器优势比计算器列联表计算器费舍尔精确检验计算器斯皮尔曼等级相关系数计算器贝塔分布计算器威布尔分布计算器指数分布计算器几何分布计算器负二项分布计算器超几何分布计算器F检验/F分布计算器贝叶斯定理计算器特征多项式计算器矩阵幂计算器乔列斯基分解计算器QR分解计算器矩阵对角化计算器克莱姆法则计算器列空间计算器零空间计算器向量夹角计算器单位向量计算器向量模计算器向量叉积计算器向量点积计算器矩阵乘法计算器逆矩阵计算器RREF计算器行最简阶梯形牛顿迭代法计算器雅可比矩阵计算器曲面积分计算器线积分计算器旋度计算器散度计算器梯度计算器多变量优化计算器微积分相关变化率求解器瞬时变化率计算器平均变化率计算器无限级数求和计算器级数收敛判定计算器幂级数计算器麦克劳林级数计算器洛必达法则计算器广义积分计算器辛普森法则计算器梯形法则计算器黎曼和计算器参数曲线绘图器旋转体表面积计算器旋转体体积计算器坐标几何距离计算器海伦公式计算器圆的切线计算器角平分线计算器内切圆计算器三角形外接圆计算器大圆距离计算器3D距离计算器环面计算器圆台计算器不规则多边形面积计算器正多边形计算器圆锥曲线识别器双曲线计算器抛物线计算器二项式定理展开计算器帕斯卡三角形生成器乘积符号计算器 (Pi记号)西格玛求和计算器有理根定理计算器笛卡尔符号法则计算器平行线和垂直线计算器直线方程计算器标准形式转斜截式转换器点斜式计算器非线性方程组求解器有理方程求解器字母方程求解器三角方程求解器指数方程求解器对数方程求解器四次方程求解器三次方程求解器估算计算器数字转分数转换器跳数生成器单位费率计算器上取整和下取整计算器绝对值计算器数列模式查找器位值图生成器运算顺序计算器PEMDAS竖式加减法计算器长乘法计算器乘法表生成器🎮 游戏货币换算器🎲 掉落概率计算器🎰 抽卡保底计算器⚔️ DPS计算器❄️ 雪天计算器🚚 搬家费用估算器🔍 抄袭检测器📷 OCR / 图片文字识别📈 折线图制作工具🥧 饼图制作工具📊 柱状图制作工具🔊 音调发生器🖱️ 点击计数器在线记事本⬛ 宽高比计算器🌍 碳足迹计算器向 文胸尺码计算器轮胎尺寸计算器燃油费用计算器💧 露点计算器🌡️ 体感温度计算器🌬️ 风寒指数计算器⏰ 在线闹钟⏰ 考勤卡计算器📅 日期差计算器🕐 军事时间转换器⏱️ 小时计算器⏱️ 在线秒表⏱️ 倒计时器🌐 时区转换器地毯计算器挡土墙计算器HVAC容量计算器隔热材料计算器铺路石计算器钢筋计算器木材计算器平方英尺计算器交叉相乘计算器五数概括计算器百分位数计算器正态分布计算器p值计算器比率计算器配方法计算器四舍五入计算器长除法计算器Twitter/X 字符计数器YouTube评论抽选器YouTube标签提取器YouTube缩略图下载器youtube收益估算器随机RPG角色生成器